逢年过节,搓一把麻将,能增进亲朋间感情;老友聚会,摆一张牌桌,可以迅速打开话匣子。
除了休闲娱乐,多项研究发现,适度打麻将有助延缓认知功能的退化,其效果甚至不输打太极。
打麻将延缓认知衰退
打麻将究竟是如何改善认知的?多个对照研究带你看清楚。
打麻将延缓认知衰退,效果不输太极
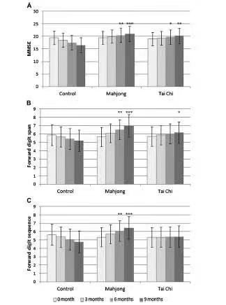
《美国老年精神病学期刊》曾发表的一项研究,对比了打麻将和其他常见活动(如太极、做手工)对大脑认知功能的影响。
研究团队选择了110名被诊断为健忘的养老院老人,将他们分为三组(A组打麻将、B组打太极、C组做简单手工)。三组参试者分别进行了为期12周、每周3次的活动。
研究人员在基线(第0个月)、3个月、6个月和9个月时,测试了三组成员的认知功能。
结果显示,如果将做手工组作为对照组,打麻将组老人的认知能力明显延缓,而太极组老人也有进步,但效果不如打麻将组。
研究者指出,并不是一定要通过麻将来延缓,麻将只是这类“认知复杂”活动、容易实施的活动之一。
停止打麻将后,效果仍在改善
早在2006年,香港教育大学郑相德教授团队在《国际老年精神病学杂志》上发表的一项研究,同样证实了打麻将能提升认知能力。
研究人员将62名被诊断为健忘症、会打麻将的老年人分为两组,在连续6个月没打麻将后,让其中一组每周打2次麻将,另一组每周打4次,连续16周。
结果发现,无论何种频次,老年人的认知能力都得到了提升,其效果在不再玩麻将后,还能持续至少一个月。
打麻将,也要注意一个度
打麻将有好处,但是一定得适度,否则容易给身体造成伤害。
2021年12月,福州“资深”44岁麻友陈女士常常通宵打麻将。她不时感觉右肩酸痛,打麻将伸手抓牌时痛感更明显,经医院检查,原来是“肩峰撞击症”。
肩峰撞击症的诱因是患者平日打麻将时,常常需做伸手抓牌和打牌这些动作。
如果肩峰本身发育成为钩状,又反复做抬肩及内外旋转肩膀的动作,时间一长就可能导致肩膀内肌腱的断裂。
打麻将时情绪兴奋,肾上腺素分泌增加,身体产生一系列的反应:心脏收缩增强、血压升高、精神专注、耗氧量增加……
牌桌上的许多意外,正是由精神过度激动时身体的这些变化引起的。专家教你几点,让你健康又愉快地打麻将。
一定要控制时长
长时间打麻将可能使大脑处于紧张状态,脑部充血,身体血液循环失调,从而出现头昏、眼花、肢体麻木等不适症状。
久坐不动,腰骶部负担重,臀部肌肉和神经受挤压,易引起腰肌劳损、下肢静脉栓塞等。
有颈椎病、高血压、冠心病等的老人更不能长时间打麻将,否则可能诱发急性脑卒中、心肌梗死等意外。
专家提醒:连续打麻将不要超过2小时,每半小时最好站起来活动一下肢体,踢踢腿、摇摇头、扭扭腰、伸伸胳膊。
打麻将的正确“姿势”
调整好心态,情绪别太激动,不要过于在意输赢,要以结交朋友的心态为目的打麻将。
建议在室内通风明亮处进行,切勿坐在风口或路边。
打麻将时,在桌旁放壶水,每半小时喝一杯,随时补充水分,有利于缓解身体疲劳。
避免用眼疲劳,打麻将间隙闭上双眼1~2分钟,然后慢慢睁开。
温馨提示:
打麻将虽有一定好处,但不适合这几类人,比如高血压、冠心病、心脑动脉硬化症患者;腰肌劳损患者;甲亢患者;糖尿病患者;消化性溃疡患者;慢性肾病患者;青光眼患者。


.gif)